• Предмет: Алгебра
  • Автор: Abdu03
  • Вопрос задан 2 года назад

Помогите решить 2-ю задачу.И объясните пожалуйста решение , если сможете

Приложения:

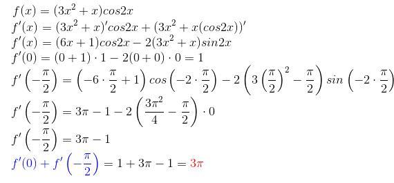
Simba2017: f`(x)=(6x+1)cos2x+(3x^2+x)*(-sin2x)*2
Simba2017: f`(0)=1
Simba2017: f`(-pi/2))=(-3pi+1)*(-1)+(3pi/4-pi/2)*0=3pi-1
Simba2017: f`(0)+f`(-pi/2)=3pi

Ответы

Ответ дал: igundane
1

///////////////////////////////////////////

Приложения:
Вас заинтересует