Ответы
Ответ дал:
1
Ответ:
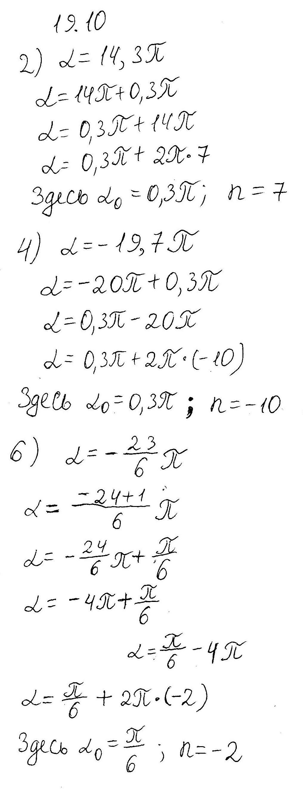
№ 19.10
2) α₀=0,3π; n=7.
4) α₀=0,3π; n= -10.
6) ; n= -2.
Объяснение:
Решение в приложении
Приложения:

Вас заинтересует
1 год назад
1 год назад
1 год назад
1 год назад
3 года назад
3 года назад
8 лет назад