• Предмет: Математика
  • Автор: 932467bkru
  • Вопрос задан 2 года назад

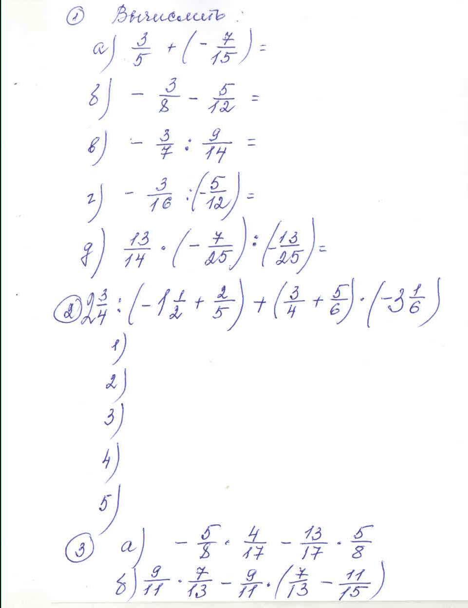
ПОМОГИТЕ 2 ЗАДАНИЕ СДЕЛАТЬ ПОЖАЛУЙСТА

Приложения:

gal429: Во втором примере точно в конце "умножить"?

Ответы

Ответ дал: NNNLLL54
1

a)\; 2\frac{3}{4}:(-1\frac{1}{2}+\frac{2}{5})+(\frac{3}{4}+\frac{5}{6})\cdot (-3\frac{1}{6})=-7\frac{37}{72}\\\\1)\; \; -1\frac{1}{2}+\frac{2}{5}=-\frac{3}{2}+\frac{2}{5}=\frac{-15+4}{10}=-\frac{11}{10}\\\\2)\; \; 2\frac{3}{4}:(-\frac{11}{10})=-\frac{11}{4}\cdot \frac{10}{11}=-\frac{5}{2}

3)\; \; \frac{3}{4}+\frac{5}{6}=\frac{9+10}{12}=\frac{19}{12}\\\\4)\; \; \frac{19}{12}\cdot (-3\frac{1}{6})=-\frac{19}{12}\cdot \frac{19}{6}=-\frac{361}{72}\\\\5)\; \; -\frac{5}{2}-\frac{361}{72}=-\frac{180+361}{72}=-\frac{541}{72}=-7\frac{37}{72}

b)\; 2\frac{3}{4}:(-1\frac{1}{2}+\frac{2}{5})+(\frac{3}{4}+\frac{5}{6}):(-3\frac{1}{6})=-3\\\\1)\; \; -1\frac{1}{2}+\frac{2}{5}=-\frac{3}{2}+\frac{2}{5}=\frac{-15+4}{10}=-\frac{11}{10}\\\\2)\; \; 2\frac{3}{4}:(-\frac{11}{10})=-\frac{11}{4}\cdot \frac{10}{11}=-\frac{5}{2}

3)\; \; \frac{3}{4}+\frac{5}{6}=\frac{9+10}{12}=\frac{19}{12}\\\\4)\; \; \frac{19}{12}:(-3\frac{1}{6})=-\frac{19}{12}:\frac{19}{6}=-\frac{19}{12}\cdot \frac{6}{19}=-\frac{1}{2}\\\\5)\; \; -\frac{5}{2}-\frac{1}{2}=-\frac{6}{2}=-3


gal429: Не в третьем, а во втором действии
MizoriesKun: Рассмотрено два варианта 2) задания , отлично
NNNLLL54: скорее всего правильно списано условие во 2 варианте...
MizoriesKun: Однозначно
Ответ дал: gal429
0

Ответ:Если условие подано правильно, то такое будет решение

Пошаговое объяснение:

Приложения:
Вас заинтересует