• Предмет: Математика
  • Автор: Diana8814
  • Вопрос задан 2 года назад

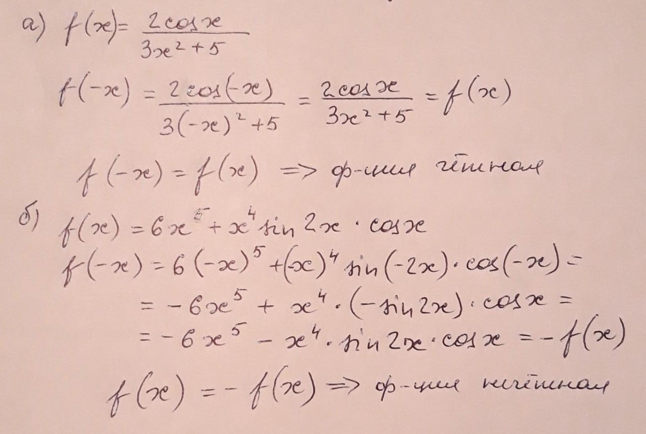
ПОМОГИТЕ ПОЖАЛУЙСТА,СРОЧНО!!! ДАЮ 20 БАЛЛОВ!!!!

Приложения:

Ответы

Ответ дал: sharofat0
1

Ответ:

Четные и нечетные функции.

Приложения:
Вас заинтересует