• Предмет: Математика
  • Автор: ivansolod2006
  • Вопрос задан 2 года назад

!!!!!!!Решите срочно пж

Приложения:

Ответы

Ответ дал: angelina1001001
0

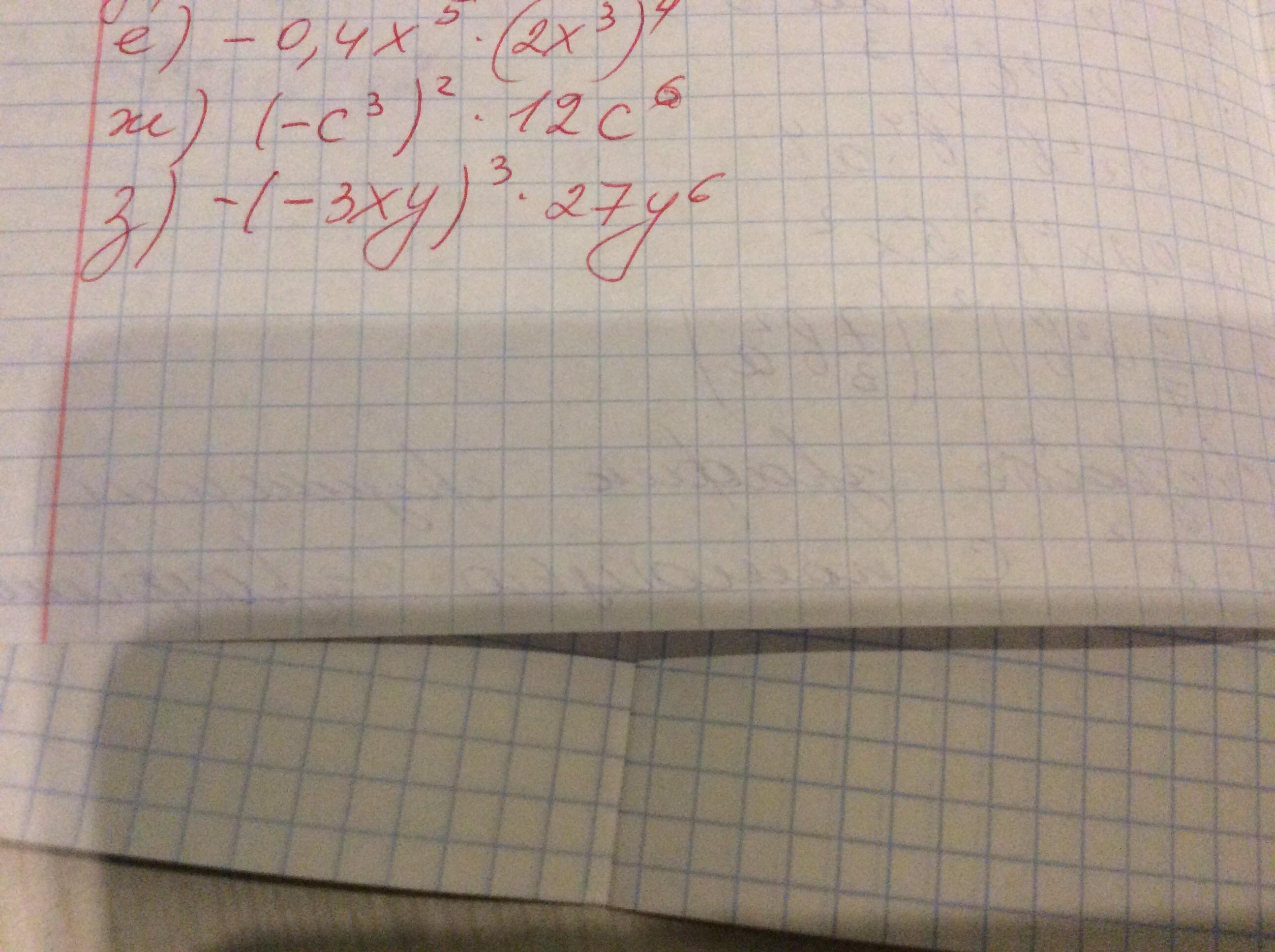
Ответ:

Е) - 0,4х17

Ж) 12с12

З) - 243х3у9

Пошаговое объяснение:

Е) - 0,4х5*(х3)4

- 0,4х5*х12

- 0,4х17

Ж) (-с3)2*12с6

с6*12с6

12с12

З) - (-3xy)3*27y6

- 9x3y3*27y6

- 243x3y9

Вас заинтересует