помогите пожалуйста с системой!
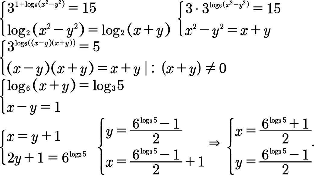
3^1+log6(x^2-y^2)=15
log2(x^2-y^2)-log2(x+y)=0
Приложения:

terikovramazan:
Основание логарифма не видно в первом уравнении
Ответы
Ответ дал:
0
Ответ:
=====
Объяснение:
Приложения:

Вас заинтересует
1 год назад
1 год назад
1 год назад
1 год назад
3 года назад
3 года назад
8 лет назад
8 лет назад