• Предмет: Алгебра
  • Автор: naz538
  • Вопрос задан 2 года назад

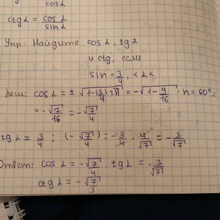
Обяъясните мне это пожалуйста очень срочно!(((((((((

Приложения:

Ответы

Ответ дал: Аноним
0

В условии не указан интервал, которому принадлежит угол. Это важно. Судя по тому, что в ответах ""минус", то в условии у вас 2 четверть. Что такое *n+60° мне непонятно.

Приложения:
Вас заинтересует