• Предмет: Алгебра
  • Автор: Springy
  • Вопрос задан 2 года назад

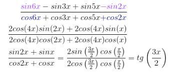
Решите, пожалуйста, номер 4. Срочно

Приложения:

Ответы

Ответ дал: igundane
0

////////////////////////////////////////

Приложения:
Вас заинтересует