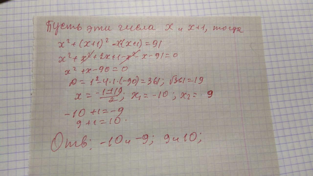
тізбектес екі санның квадраттарынын қосындысы олардың көбейтіндісінен 91 ге артық. Осы сандарды тап
Ответы
Ответ дал:
7
Ответ: -10 и -9; 9 и 10
Объяснение:
Приложения:

Вас заинтересует
1 год назад
1 год назад
1 год назад
3 года назад
8 лет назад
8 лет назад