Ответы
Ответ дал:
0
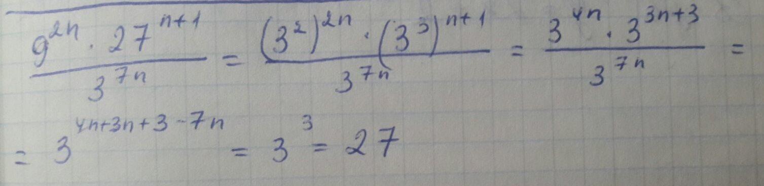
нужно 27 на слагаемые поделить будет 3 и 9 , потом сокращаем 3
Приложения:

Ответ дал:
0
Відповідь:
Пояснення:
Приложения:

Вас заинтересует
1 год назад
1 год назад
1 год назад
3 года назад
8 лет назад
8 лет назад