• Предмет: Алгебра
  • Автор: alinaiman
  • Вопрос задан 2 года назад

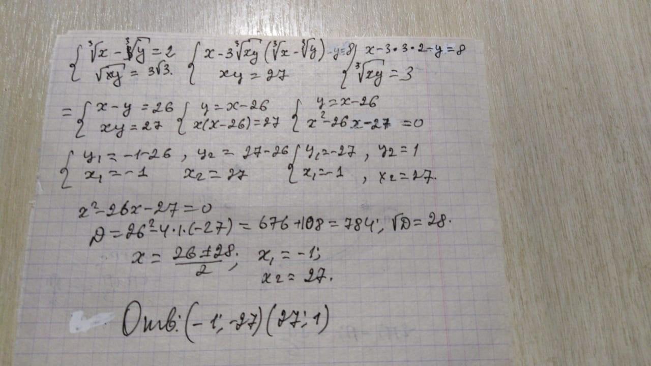
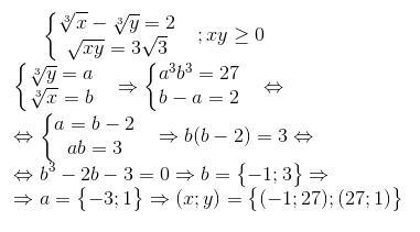
Помогите решить систему

Приложения:

Simba2017: x=27/y
Simba2017: из второго и в первое
Simba2017: ответ(27;1)(-1;-27)
alinaiman: Нет
Simba2017: да, в первое не подходит, я в вычислениях наверное ошиблась
Simba2017: но ход решения верный
Simba2017: верный)
terikovramazan: подходит: 3-1=2, корень из 27 = 3 корень из 3
Simba2017: да)

Ответы

Ответ дал: terikovramazan
0

Ответ:(-1;-27); (27;1)

Объяснение:

Приложения:
Ответ дал: igundane
0

////////////////////////////////////////////

Приложения:
Вас заинтересует