• Предмет: Алгебра
  • Автор: jeren04
  • Вопрос задан 2 года назад

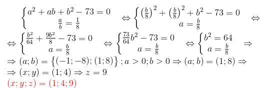
Алгебра. Помогите пожалуйста! Надо найти x,y,z

Приложения:

Ответы

Ответ дал: igundane
2

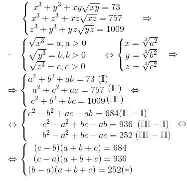
Посмотрим на второе фото ,когда я сделал замену на t

Это очевидно ,но напишу всё же.Так как а и b больше нуля ,то их частное так же больше нуля ,следовательно t>0

Приложения:

jeren04: Молодец!!! Огромное спасибо!
Вас заинтересует