• Предмет: Алгебра
  • Автор: lu1zochka
  • Вопрос задан 2 года назад

Помогите пожалуйста. Алгебра 9 класс!​

Приложения:

Ответы

Ответ дал: igundane
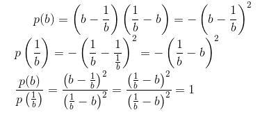
1

//////////////////////////////////////////////

Приложения:
Ответ дал: Universalka
1

p(\frac{1}{b})=(\frac{1}{b}-\frac{1}{\frac{1}{b}})(-\frac{1}{b}+\frac{1}{\frac{1}{b}})=(\frac{1}{b}-b)(b-\frac{1}{b})\\\\p(b)=(b-\frac{1}{b})(-b+\frac{1}{b})=(\frac{1}{b}-b)(b-\frac{1}{b})\\\\\frac{p(b)}{p(\frac{1}{b})}=\frac{(\frac{1}{b}-b)(b-\frac{1}{b})}{(\frac{1}{b}-b)(b-\frac{1}{b}}=1

Вас заинтересует