• Предмет: Математика
  • Автор: elmirautebekova
  • Вопрос задан 2 года назад

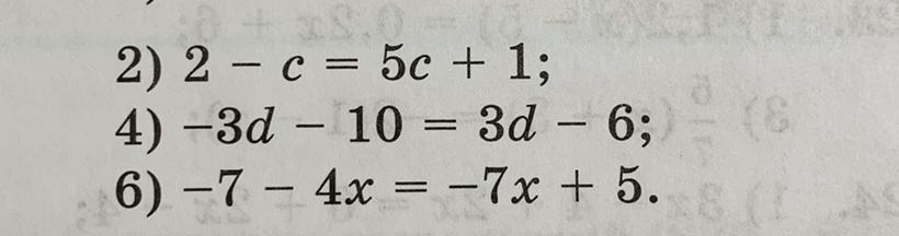
найдите корни уравнений. Пожалуйста, пошагово с объяснением

Приложения:

Ответы

Ответ дал: Вerna
1

Ответ:

2) с = 1/6

4) d=-2/3

6) х = 4

Пошаговое объяснение:

2)2-с=5с+1

1=6с

с=1/6

4)-3d-10=3d-6

-6d=4

d=-2/3

6)-7-4x=-7x+5

3x=12

x=4

Вас заинтересует