Через дано))період піврозпаду радію становить 1600років.Скільки років має минути,щоб кількість радіоактивних ядеру зразку зменшилося в 16 разів?
Ответы
Ответ дал:
13
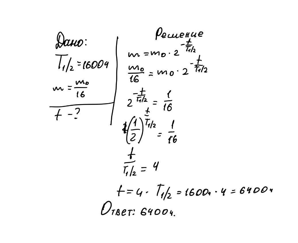
Ответ: 6400 часов
Объяснение: на фото
Приложения:

agrabar6:
а в дано после 1600 что стоит?
Вас заинтересует
1 год назад
1 год назад
1 год назад
3 года назад
3 года назад
8 лет назад