• Предмет: Алгебра
  • Автор: Skymen01
  • Вопрос задан 2 года назад

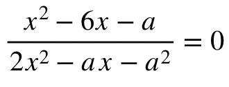
При каких значениях параметра a уравнение имеет ровно 2 различных корня?

Приложения:

Ответы

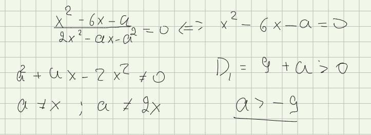
Ответ дал: igundane
0

///////////////////////////////////

Приложения:
Вас заинтересует