Ответы
Ответ дал:
1
Ответ:
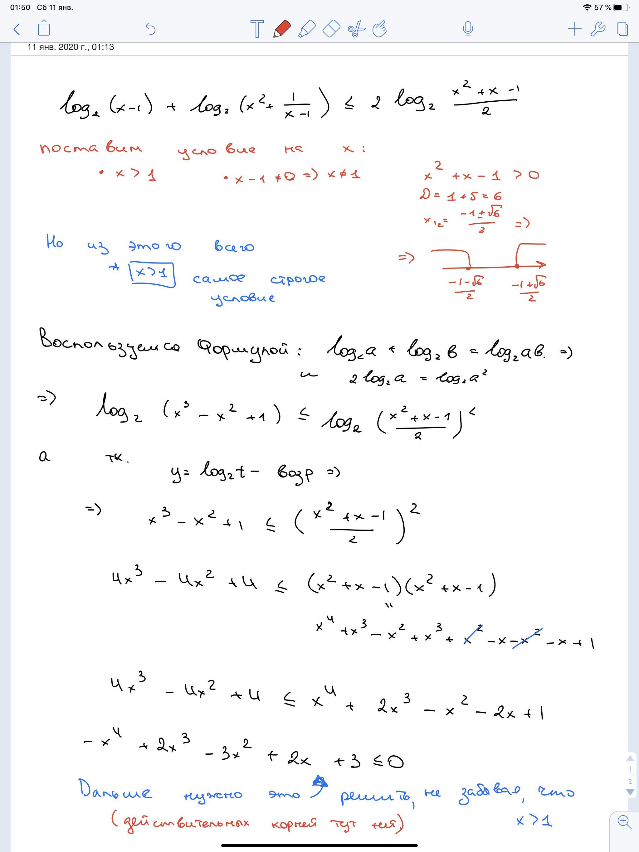
Решение не доведено до конца, но я походу где-то ошибся. А если нет - нужно решить неравенство и получить ответ
Приложения:

Вас заинтересует
1 год назад
1 год назад
1 год назад
1 год назад
3 года назад
3 года назад