• Предмет: Алгебра
  • Автор: ClarisVerbis
  • Вопрос задан 2 года назад

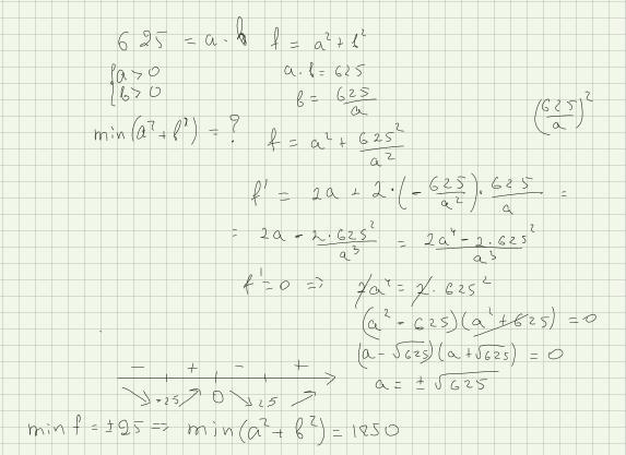
Задание прикреплено.

Приложения:

Ответы

Ответ дал: igundane
0

////////////////////////////////////

Приложения:

Аноним: по условию эти числа положительные и неверно вычислена производная функции.
igundane: Чудом сошёлся ответ!
Вас заинтересует