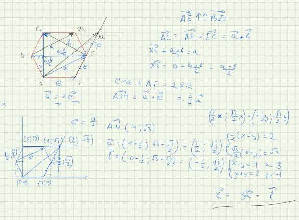
ABCDEF – правильный шестиугольник. Рассматриваются векторы a=BD,b=EC и , c=AM где М – точка пересечения продолжений сторон CD и FE . Представить вектор c в виде линейной комбинации векторов a и b
Ответы
Ответ дал:
1
///////////////////////////////////////////
Приложения:

Вас заинтересует
1 год назад
1 год назад
3 года назад
3 года назад
8 лет назад