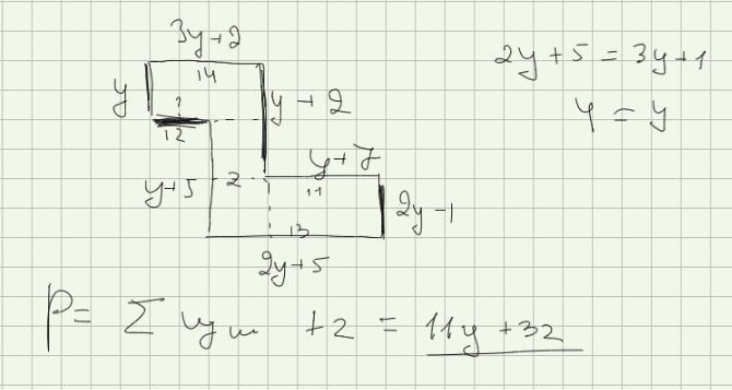
Запиши периметр данной фигуры в виде многочлена (суммы букв и чисел).
Периметр данной фигуры P=
.
(Внимание: в ответе нельзя использовать пробелы!)
Приложения:

Ответы
Ответ дал:
14
Ответ:
9y+20
Объяснение:
Р=(3y+2)+y+(y+2)+(2y+5)+(2y-1)+(y+7)+(y+5)=9у+20
Ответ дал:
6
//////////////////////////////
Приложения:

Вас заинтересует
1 год назад
1 год назад
3 года назад
3 года назад