Ответы
Ответ дал:
1
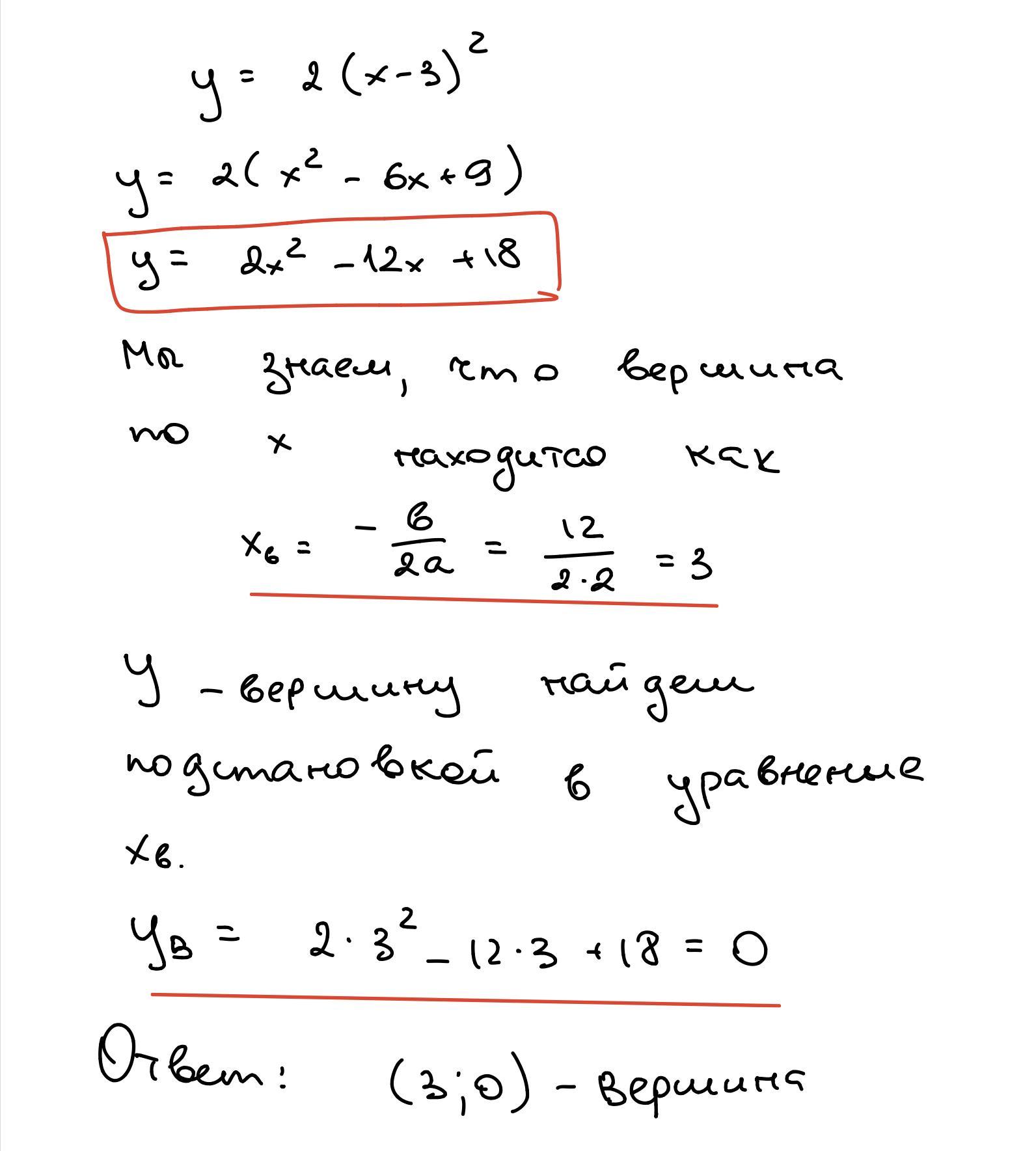
у=2х^2-12х+18;
х0=-b/2a;x0=12/4=3;
y0=2•3^2-12•3+18=18-36+18=0;
Координата вершины (3;0)
Ответ дал:
1
Ответ:
решение в прилжении
Приложения:

Вас заинтересует
1 год назад
1 год назад
1 год назад
1 год назад
3 года назад
3 года назад