• Предмет: Математика
  • Автор: sea131281
  • Вопрос задан 2 года назад

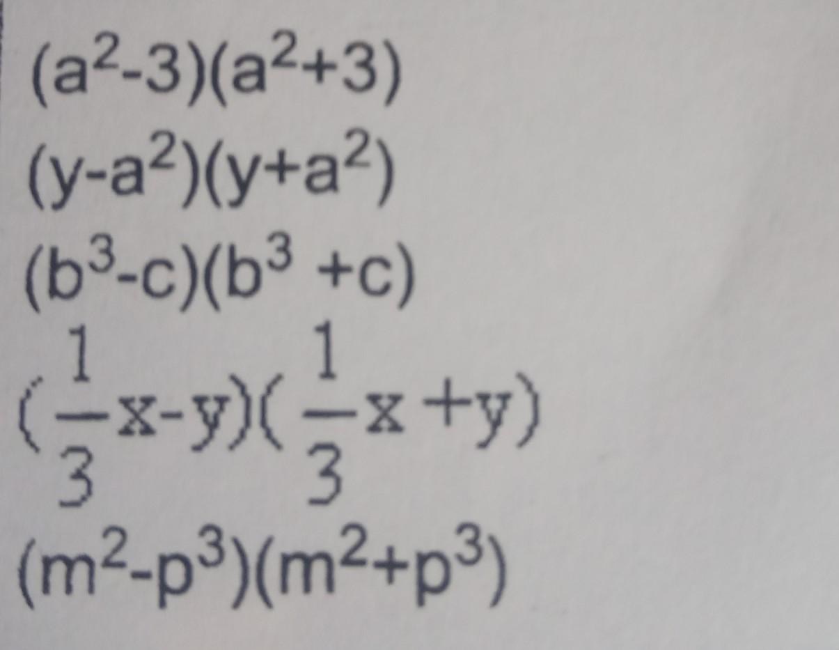
сократите, пожалуйста​

Приложения:

Ответы

Ответ дал: kkdbduevi
1

Ответ:

сверху решила все на листике

Пошаговое объяснение:

там все подробно расписано

Приложения:
Вас заинтересует