• Предмет: Алгебра
  • Автор: MIDNIGHTY
  • Вопрос задан 2 года назад

Помогите ребята срочно, если не будет на это ответа меня отправят в детдом......

Приложения:

Ответы

Ответ дал: ivan48367
2

Ответ:

....................................

Приложения:
Ответ дал: ludmilaandrosova
0

Ответ:

0

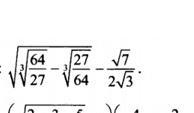
Объяснение:корень 3 степени из 64/27=4/3,а из 27/64=3/4 поэтому корень квадратный из

4/3-3/4=корень из 7/12. корень из 12=2корня из 3.Получилось,что вычитаем равные величины.в результате 0

Вас заинтересует