Ответы
Ответ дал:
0
Ответ:
Объяснение:
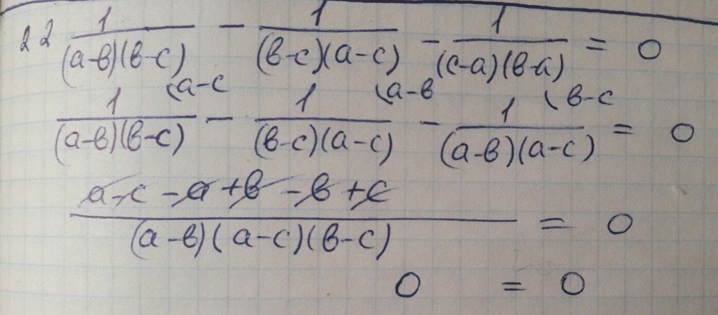
1/(а-в)(в-с) - 1/(в-с)(а-с) - 1/(а-с)(а-в)= (а-с-(а-в)-(в-с)) /(а-в)(а-с)(в-с)=
(а-с-а+в-в+с) /(а-в)(а-с)(в-с)=0, 0=0 , (числитель =0)
Ответ дал:
1
Відповідь:
Пояснення:
Приложения:

Вас заинтересует
1 год назад
1 год назад
1 год назад
3 года назад
8 лет назад