• Предмет: Математика
  • Автор: MandRanacc
  • Вопрос задан 2 года назад

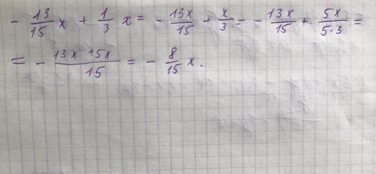
Приведи подобные слагаемые

Приложения:

Ответы

Ответ дал: gulewichds
0

-13/15x + 1/3x = -13/15x + 5/15x = - 8/15x

Ответ дал: romaniukandrii15
0
Прикрепил......................
Приложения:
Вас заинтересует