• Предмет: Алгебра
  • Автор: ayyyyylmao
  • Вопрос задан 2 года назад

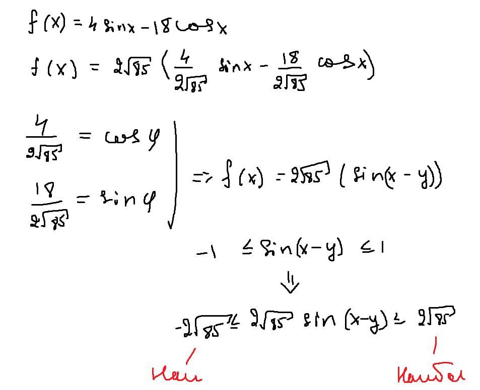
Вычисли наибольшее и наименьшее значения функции
y(x)=4⋅sinx−18⋅cosx

Ответы

Ответ дал: igundane
1

/////////////////////////////////////////////

Приложения:

kholyavskij: Шота не то) у меня другое получилось
igundane: Значит неправилно решили
igundane: Неправильно*
ayyyyylmao: так это правильно или нет?
igundane: Правильно
Вас заинтересует