• Предмет: Математика
  • Автор: anastasya79
  • Вопрос задан 2 года назад

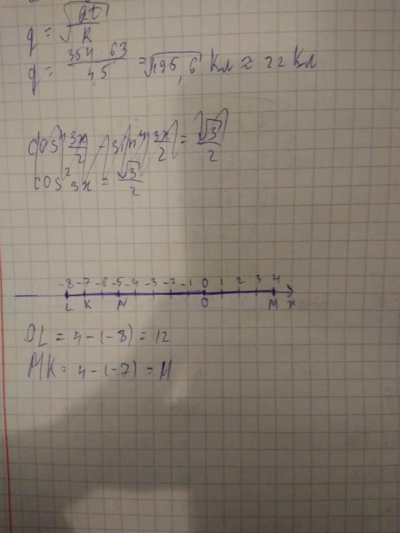
Изобразите координатную ось выбрав удобный еденичный отрезок и отмерьте на ней точки о(0), М(4), N(-5),K(-7),L(-8). Отреднлите расстояние OL и MK Срочно помогите ​

Ответы

Ответ дал: Аноним
8

Ответ:

OL=12; MK=11

Пошаговое объяснение:

Приложения:
Вас заинтересует