С космического короля удаляющегося от земли со скоростью 0,8с,стартует ракета в направление движения корабля. Скорость ракеты относительно земли 0,976с. Чему равна скорость ракеты относительно корабля
Ответы
Ответ дал:
10
Объяснение:
Дано:
v=0.8c
v(корабля) =0.976с
Найти:
v(x) -?
----------------------------------
Ответ: v(x) =0.8с
Формулы на фото
Приложения:


Ответ дал:
0
Ответ: 0,176м/с.
Объяснение: так как корабль движется по направлению движения ракеты,то нужно из скорости ракеты вычесть скорость корабля.
Вас заинтересует
1 год назад
1 год назад
1 год назад
3 года назад
3 года назад
8 лет назад
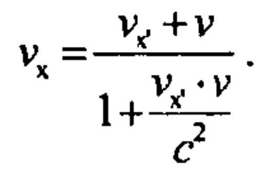
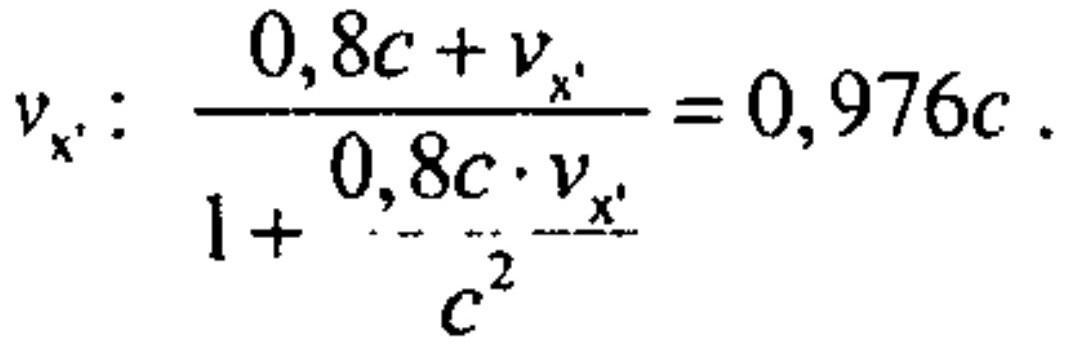
ния скоростей:
v, В нашем случае
скорость подвижной системы отсчета (космического корабля) у 0,8с скорость ракеты относительно Земли = 0,976c To- Тогда получим уравнение для скорости ракеты
относительно у :
0,8c+ v, 0,976c . Откуда
0,8c
v. = 0,8c . Ответ: v, = 0,8c .