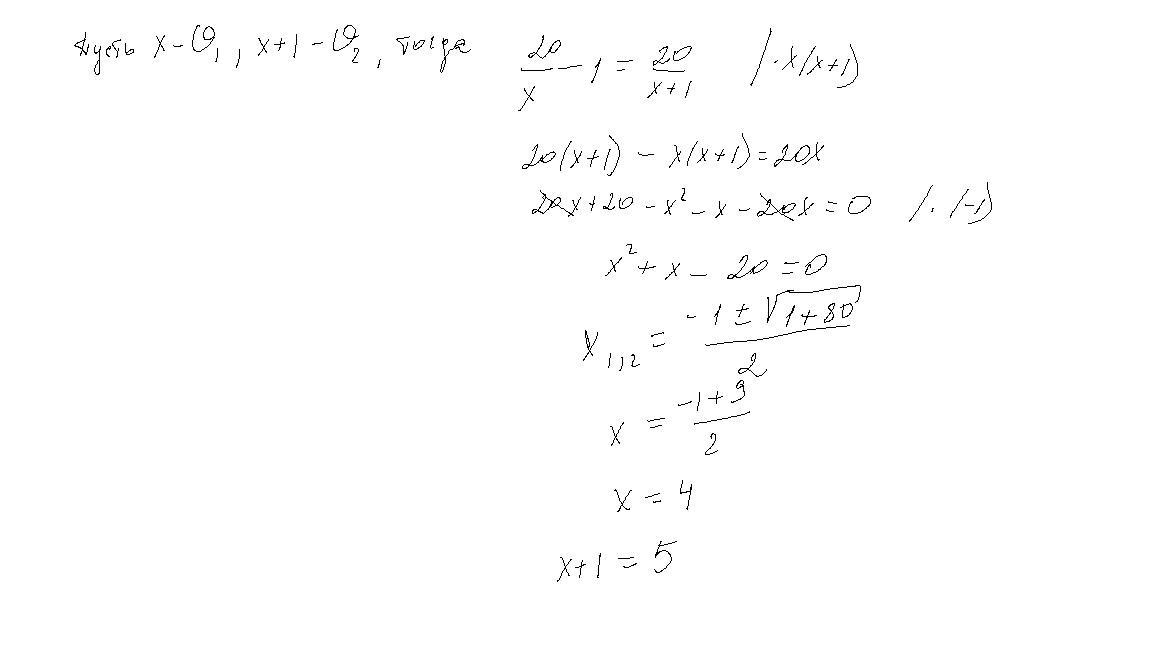
Из города А в город Б длина пути между которыми 20 км одновременно вышли два пешехода Скорость одного из них была на 1 км ч больше скорости другого поэтому он затратил на весь путь на 60 минут меньше Какова скорость каждого пешехода
Ответы
Ответ дал:
2
Ответ:
4 и 5
Объяснение:
Приложения:

Вас заинтересует
1 год назад
1 год назад
3 года назад
8 лет назад