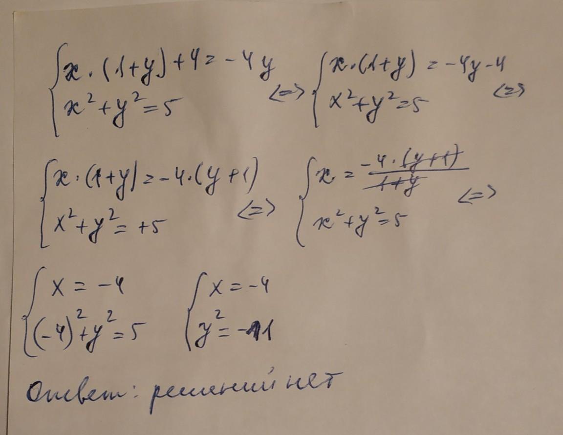
Решите систему уравнений
Аноним:
https://znanija.com/task/34182319
Ответы
Ответ дал:
1
Ответ:
решений нет
Объяснение:
во вложении.......
Приложения:

Вас заинтересует
1 год назад
1 год назад
1 год назад
3 года назад
8 лет назад
8 лет назад