• Предмет: Алгебра
  • Автор: njekrilelelrdl
  • Вопрос задан 2 года назад

Углом какой четверти является угол а,если
Номер 19.6

Приложения:

Ответы

Ответ дал: parus77
29

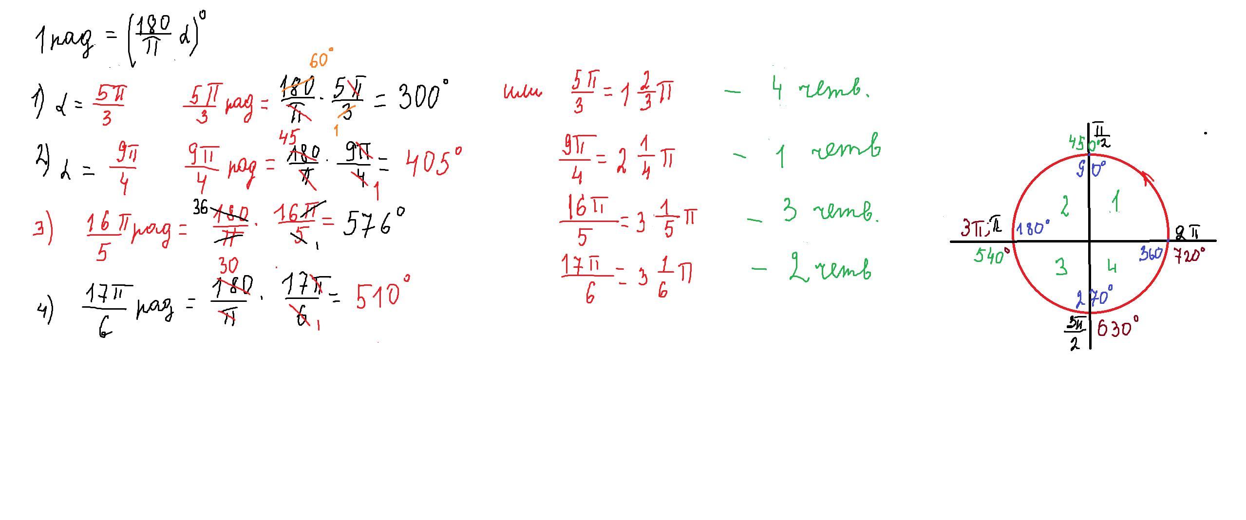
Ответ:

1) 4 2) 1 3) 3 4) 2

Объяснение:

подробно расписала внизу

Приложения:
Вас заинтересует