• Предмет: Алгебра
  • Автор: Vashyron
  • Вопрос задан 2 года назад

Алгебра 10 кл, помогите плз
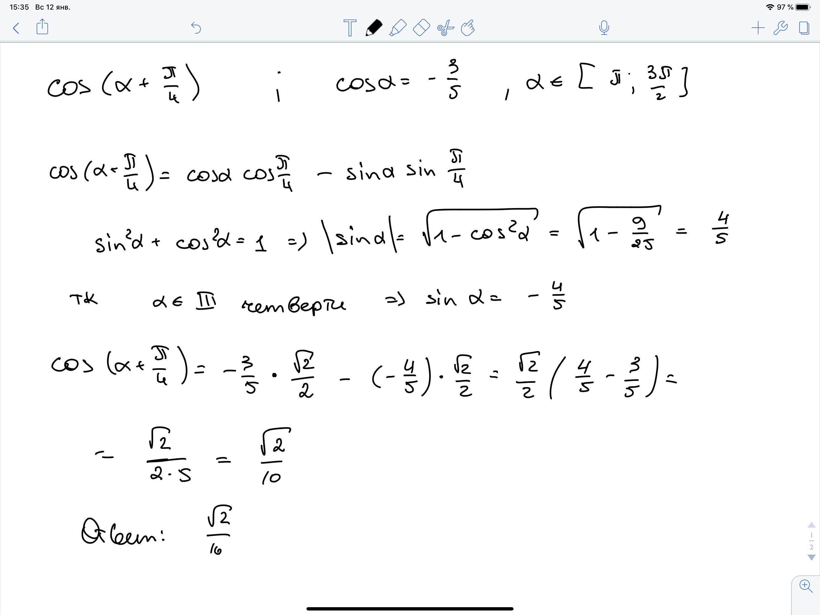
Вычислите:

Приложения:

Ответы

Ответ дал: OkEY777
1

Ответ:

Решение в фото

Приложения:
Вас заинтересует