найти внутреннюю энергию смеси состоящей из гелия массой m1=20 г и кислорода m2=64 г при температуре T=300K
Ответы
Ответ дал:
1
Объяснение:
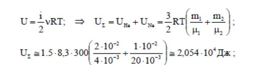
Дано:
m1=20г
m2=64г
T=300K
Найти:
U(Σ) -?
-----------------
v1=m1/μ1
v2=m2/μ2
U=1/2 •vRT
Ответ:на фото
Приложения:

Вас заинтересует
1 год назад
1 год назад
3 года назад
3 года назад
8 лет назад
8 лет назад