• Предмет: Алгебра
  • Автор: milanapotapova43
  • Вопрос задан 2 года назад

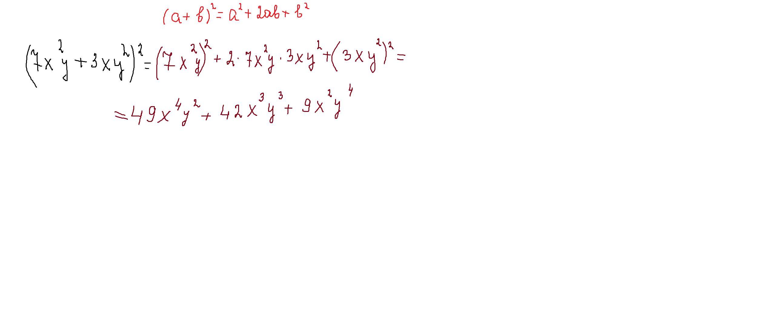
преобразуйте выражение в многочлен.1 пример помогите ​

Приложения:

Ответы

Ответ дал: polyaaaaaaaaaaaaa10
1

Ответ:

49x⁴y²+9x²y⁴

Объяснение:


parus77: выучите формулу квадрат суммы и исправьте ответ.
Ответ дал: parus77
0

Ответ:

Объяснение:

применим формулу квадрат суммы

Приложения:
Вас заинтересует