Ответы
Ответ дал:
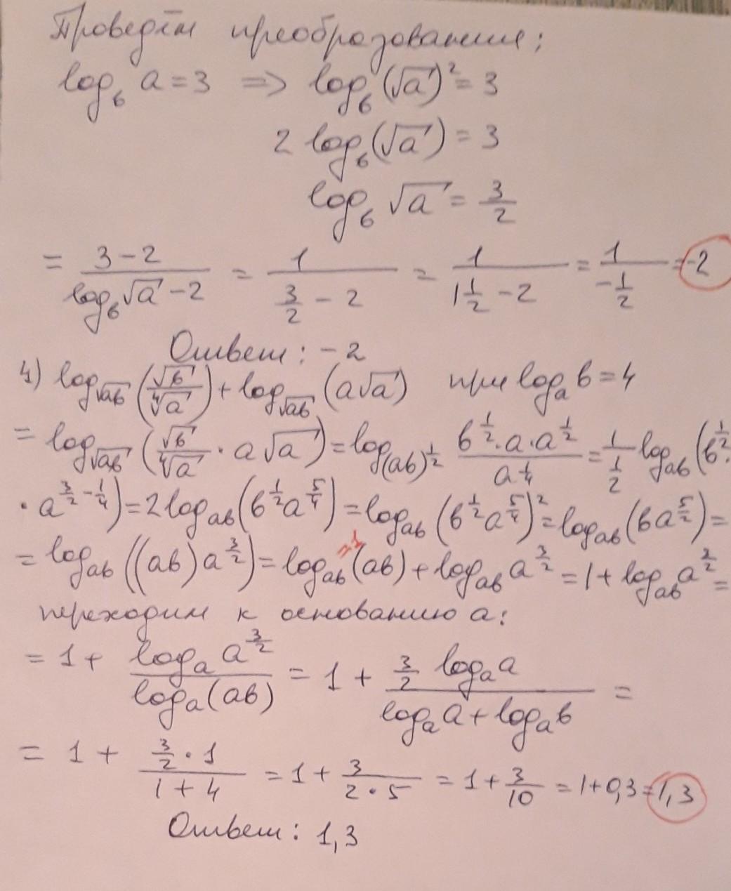
1
Ответ:
Свойства логарифмической функции.
Приложения:


Вас заинтересует
1 год назад
1 год назад
3 года назад
3 года назад
8 лет назад
8 лет назад