• Предмет: Алгебра
  • Автор: wnull
  • Вопрос задан 2 года назад

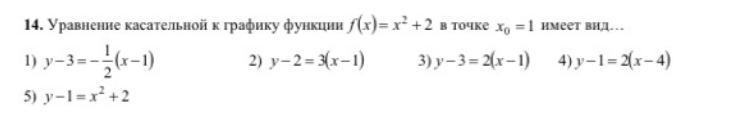
Вопрос находится в приложении

Приложения:

Ответы

Ответ дал: ШереметИрина
1

решение на фото............................................

Приложения:

PVJ: При раскрытии скобок ошибка!!! Должно быть 3+2х-2=2х+1, а не 5+2х!!!
Ответ дал: PVJ
1

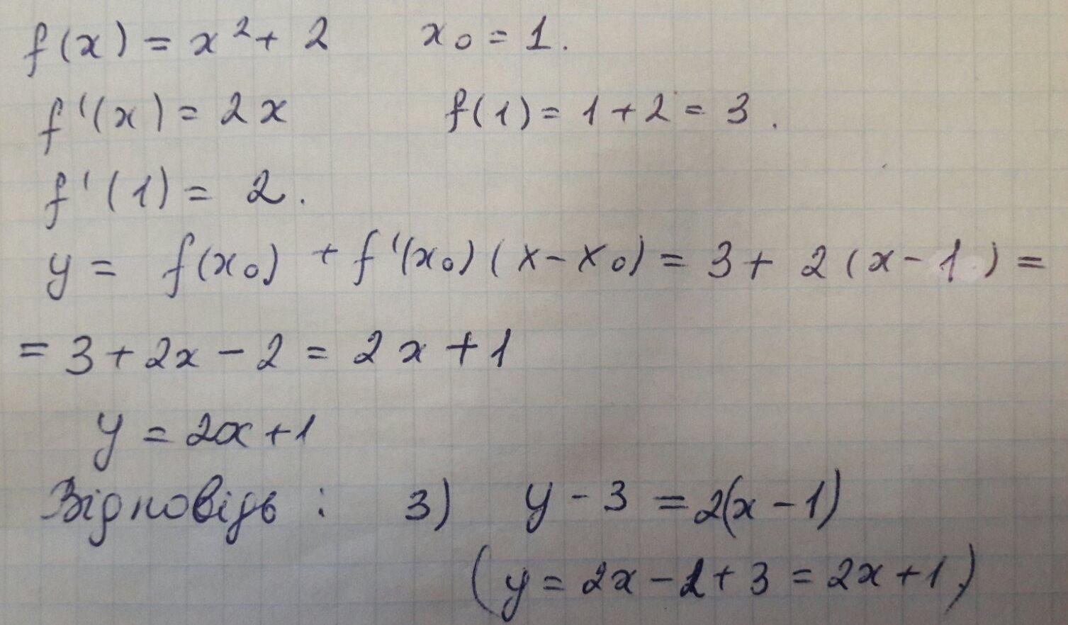
Відповідь:

Пояснення:

Приложения:
Вас заинтересует