• Предмет: Математика
  • Автор: vertex19095
  • Вопрос задан 2 года назад

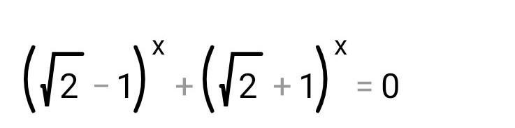
Решить ур-е..........

Приложения:

Ответы

Ответ дал: фтещчгс
1

Ответ:

Пошаговое объяснение:

Рівняння не має розв"язків

Ліва частина завжди більша 0

Вас заинтересует