Ответы
Ответ дал:
1
Ответ:
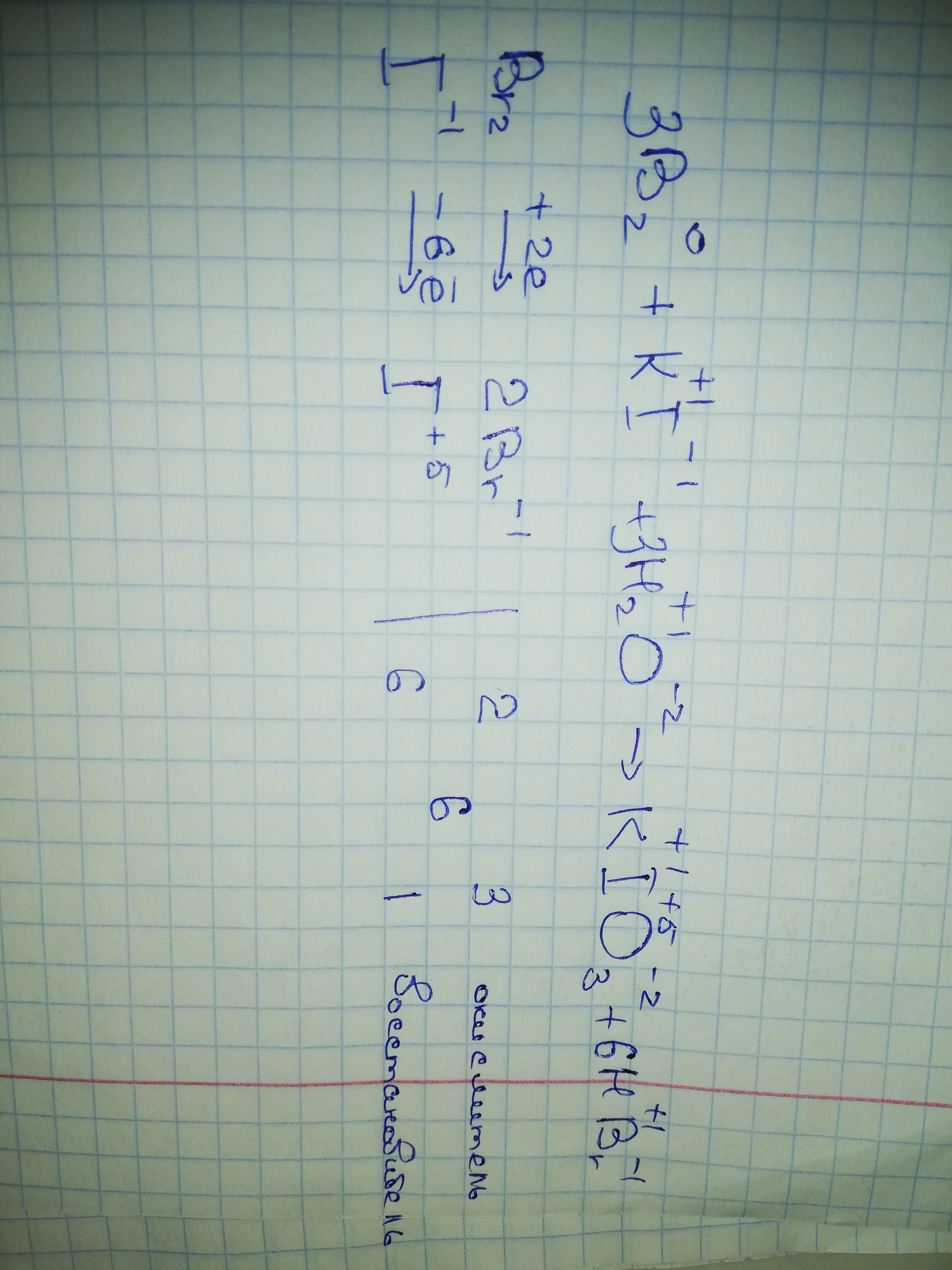
Br2+KI+3H2O=KIO3+6HBr
Объяснение:Br2+2e=2Br [2 6 3 окислитель
I-1 - 6e=I+5 [6 6 1 восстановитель
В реакции степень окисления изменился у брома (был 0, а стал минус один) и у йода (был минус один, стал плюс пять). Это и значит, что в реакции Бром вступив в реакцию с водородом присоединил два электрона. А йод в реакции отдал 6 электронов, поэтому его степень окисления и стала плюс пять. Так как йод отдал электроны он окислился, значит он стал восстановителем. Так как бром взял 2 электрона, он восстановился, но является окислителем.
Приложения:

Вас заинтересует
1 год назад
1 год назад
1 год назад
3 года назад
8 лет назад
8 лет назад