• Предмет: Химия
  • Автор: zubkovakatya5
  • Вопрос задан 2 года назад

СРОЧНОООООО!!!ПЛИИИИИИИИИИИИИИИИИИИИИИИИС
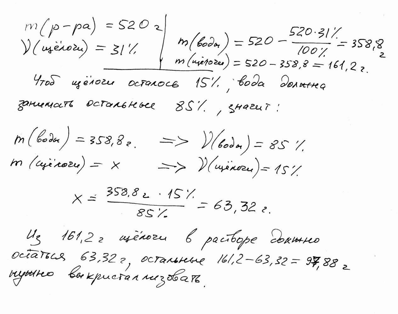
вычислите массу безводной щелочи которую необходимо выкристаллизовать из 520г 31% раствора щёлочи,чтобы массовая доля щёлочи в оставшемся растворе составила 15%

Ответы

Ответ дал: shurius
6

Ответ:

97,88 г

Объяснение:

Приложения:
Вас заинтересует