Развязать уповнения!!! 50 БАЛЛОВ!!!!
Приложения:

Universalka:
В задании нет ни одного уравнения
Ответы
Ответ дал:
0
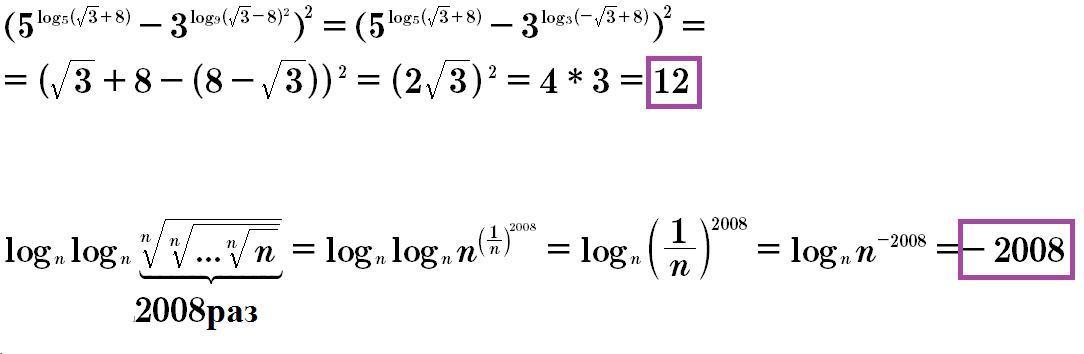
Ответ:
Объяснение:
\\\\\\\\\\\\\\\\\\\\\\\\\\\\\\\\\\\\\\
Приложения:

Вас заинтересует
1 год назад
1 год назад
1 год назад
1 год назад
3 года назад
3 года назад
8 лет назад