• Предмет: Алгебра
  • Автор: grustniykarpik
  • Вопрос задан 2 года назад

Доброго времени суток.
Помогите, пожалуйста, с данными заданиями.
Даю 100 баллов.

Приложения:

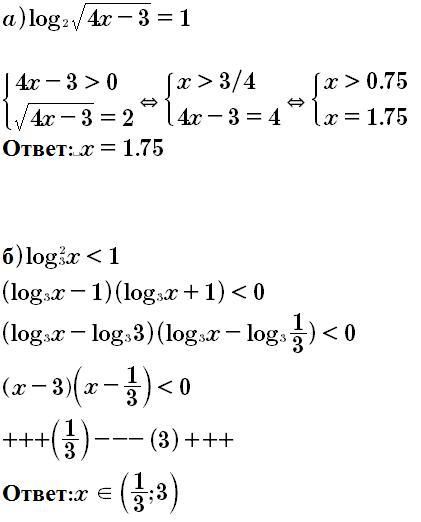
Ответы

Ответ дал: Аноним
1

Ответ:

Объяснение:

\\\\\\\\\\\\\\\\\\\\\\\\\\\\\\\\\\\\\\\\\\

Приложения:
Вас заинтересует