• Предмет: Алгебра
  • Автор: Abdu03
  • Вопрос задан 2 года назад

Помогите пожалуйста решить 2-ю задачу

Приложения:

Ответы

Ответ дал: Miroslava227
0

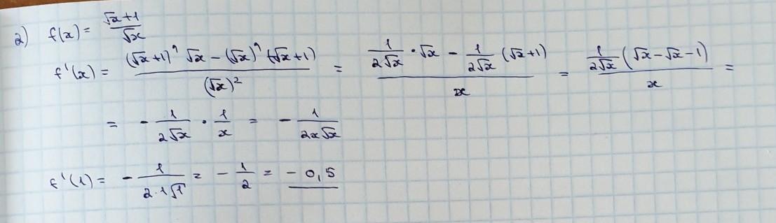
Ответ:

решение на фотографии

Приложения:
Вас заинтересует