Ответы
Ответ дал:
2
Ответ:
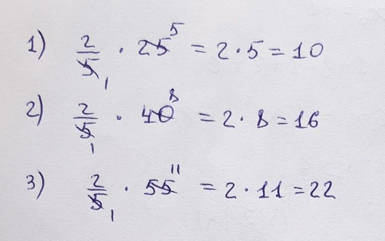
Найти часть от целого.
Приложения:

Ответ дал:
4
1)2/5 от 25=10
2)2/5 от 40 =16
3)2/5 от 55 =20
будут вопросы задавайте!!!!
ilAAAAA:
лучший ответ
Вас заинтересует
1 год назад
1 год назад
1 год назад
1 год назад
3 года назад
3 года назад
8 лет назад
8 лет назад