Ответы
Ответ дал:
0
Ответ:
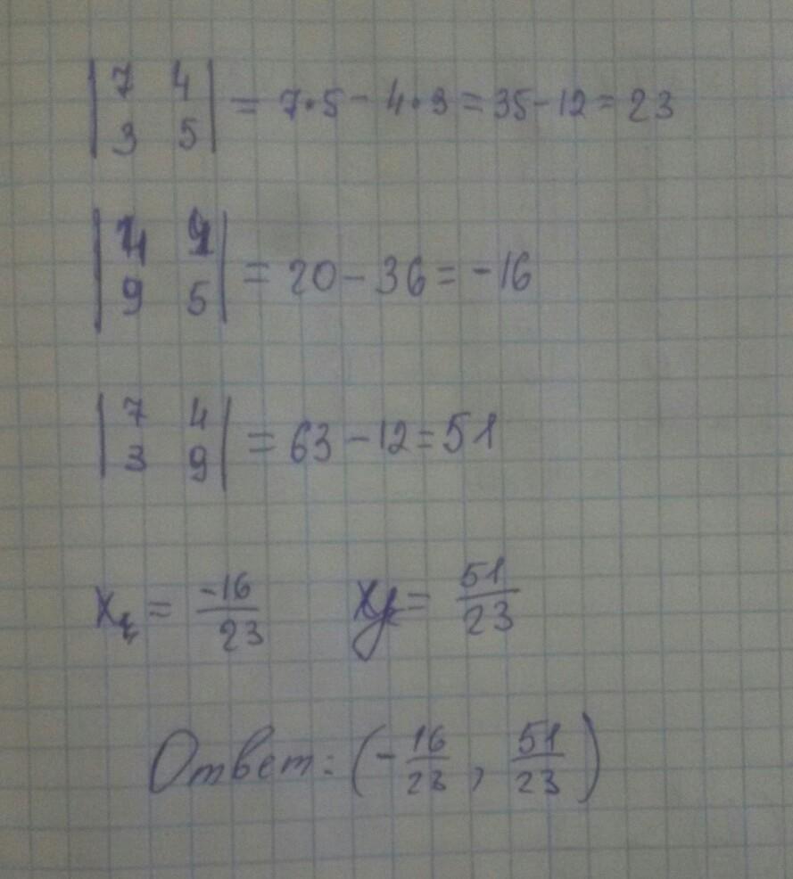
На фотографии ... ... ... ... ... ... .
Приложения:

Вас заинтересует
1 год назад
3 года назад
3 года назад
8 лет назад