• Предмет: Математика
  • Автор: almatovaaziza818
  • Вопрос задан 2 года назад

помогите мне! мне сложнА
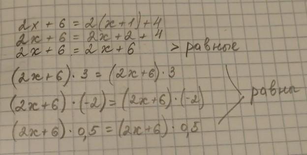
Пусть дано уравнение 2х + 6 = 2 (х+1)+4 имеющие либо значение неизвестного доказать что умножив обе его части
на 3; - 2; 0,5
получим равносильные уравнения(​


almatovaaziza818: помните плиз
almatovaaziza818: помогите

Ответы

Ответ дал: otsm
3

Пошаговое объяснение:

Привет. Тебе не нужно решать уравнение. Ты раскрываешь скобки и видишь что у тебя левое и правое выражение - одинаковы. Берешь и умножаешь каждую сторону на те числа, что были даны в задаче. Видим и понимаем что они будут равны. В моей фотографии осталось только раскрыть скобки.

Приложения:

almatovaaziza818: спасибо
almatovaaziza818: большое
almatovaaziza818: большое спасибо
otsm: :)
Вас заинтересует