• Предмет: Математика
  • Автор: hiajzhmc
  • Вопрос задан 2 года назад

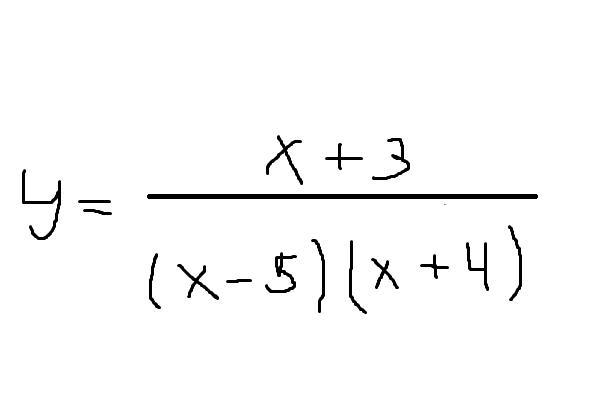
найдите область определения функции

Приложения:

Ответы

Ответ дал: Аноним
2

х-5=/0, х=/ 5,

х+4=/0, х=/ - 4. (=/. не равно)

D(y) =(-бескон., - 4)U(-4; 5)U(5;+бескон)

Вас заинтересует