• Предмет: Алгебра
  • Автор: stalker1992ru
  • Вопрос задан 2 года назад

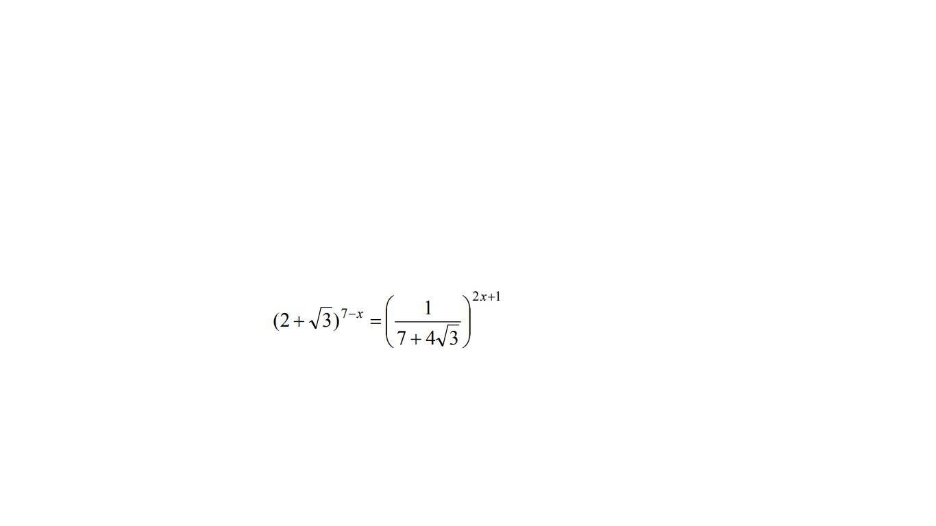
Показательное уравнение.

Приложения:

Ответы

Ответ дал: Universalka
2

(2+\sqrt{3})^{7-x}=(\frac{1}{7+4\sqrt{3}})^{2x+1}\\\\(2+\sqrt{3} )^{7-x}=(\frac{1}{2^{2}+4\sqrt{3}+(\sqrt{3})^{2}})^{2x+1}\\\\(2+\sqrt{3} )^{7-x}=(\frac{1}{(2+\sqrt{3})^{2}})^{2x+1}\\\\(2+\sqrt{3})^{7-x}=((2+\sqrt{3})^{-2})^{2x+1}\\\\(2+\sqrt{3})^{7-x}=(2+\sqrt{3})^{-4x-2}\\\\7-x=-4x-2\\\\-x+4x=-2-7\\\\3x=-9\\\\x=-3\\\\Otvet:\boxed{-3}

Вас заинтересует