• Предмет: Математика
  • Автор: alan08789
  • Вопрос задан 2 года назад

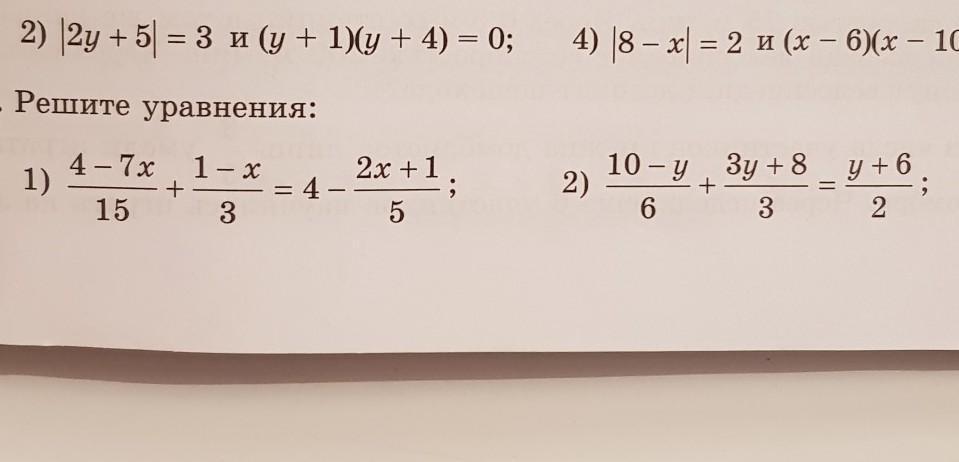
умоляю помогите оба уравнения​

Приложения:

Ответы

Ответ дал: tatsach
1

Ответ:

Пошаговое объяснение:

4-7х+5(1-х)=4*15-3(2х+1)

4-7х+5-5х=60-6х-3

6х-7х-5х=60-3-4-5

-6х=48

х=48:(-6)

х=-8

10-у+2(3у+8)=3(у+6)

10-у+6у+16=3у+18

6у-у-3у=18-16-10

2у=-8

у=-8:2

у=-4


tatsach: Списывайте свое условие а потом мое решение
Вас заинтересует