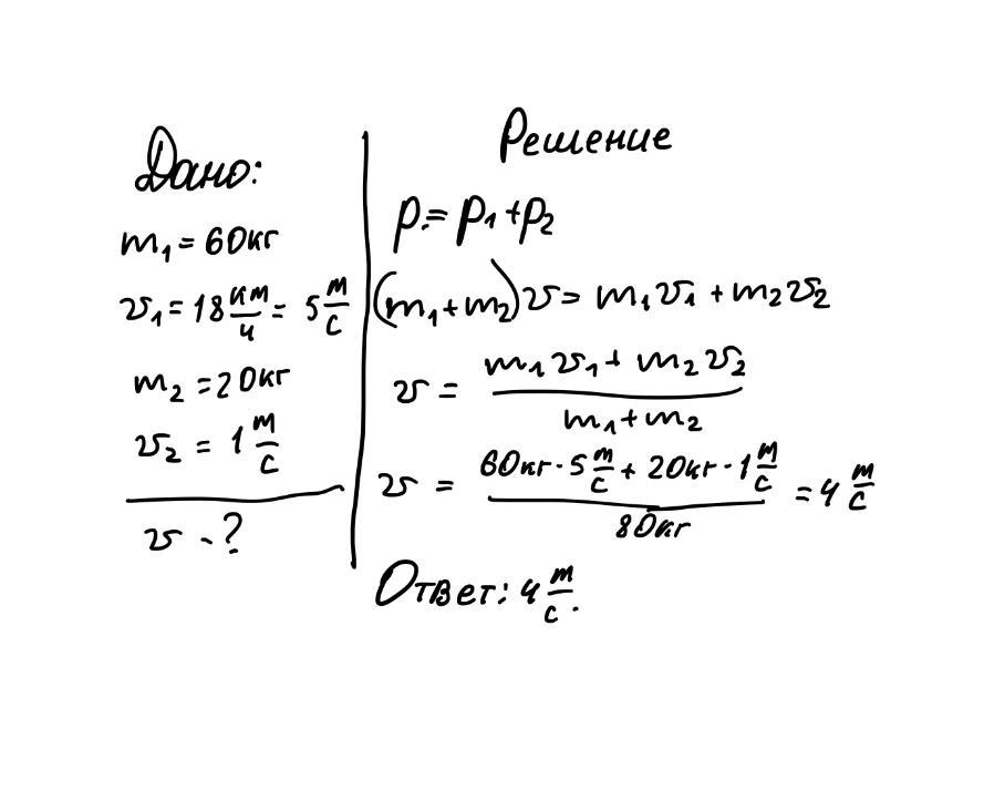
Человек массой 60 кг бежит со скоростью 18 км/ч догнав тележку массой 20 кг движуюся со скоростью 1 м/с и вскакивает на неё. С какой скоростью станет двигаться тележка с человеком?
Ответы
Ответ дал:
537
Ответ: 4 м/с
Объяснение: на фото
Приложения:

Вас заинтересует
1 год назад
1 год назад
1 год назад
1 год назад
3 года назад
3 года назад