• Предмет: Алгебра
  • Автор: dorofeevamargo
  • Вопрос задан 2 года назад

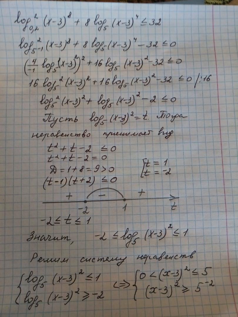
Log^2 0,2(x-3)^8 +8log5(x-3)^4<=32

Ответы

Ответ дал: lilyatomach
36

Ответ:

x∈ [ 3-√5; 2,8] ∪[3,2; 3+√5]

Объяснение:

Приложения:
Вас заинтересует